-
Lớp 12
-
Lớp 11
-
Lớp 10
- SGK Toán 10 - Đại Số và Hình Học Toán 10
- SGK Toán 10 nâng cao
- SGK Tiếng Anh 10
- SGK Tiếng Anh 10 Mới
- Văn mẫu 10
- Soạn văn 10 chi tiết
- Soạn văn 10 ngắn gọn
- Soạn văn 10 siêu ngắn
- Tác giả - Tác phẩm văn 10
- SGK Vật lý 10
- SGK Vật lý 10 nâng cao
- SGK Hóa học 10
- SGK Hóa học 10 nâng cao
- SGK Sinh học 10
- SGK Sinh học 10 nâng cao
-
Lớp 9
-
Lớp 8
-
Lớp 7
-
Lớp 6
- Lớp 5
- Lớp 4
- Lớp 3
- Lớp 2
- Lớp 1
- Thông tin tuyển sinh
Bài 3 trang 97 SGK Đại số và Giải tích 11
Đề bài / Mô tả:
Xem lời giải và đáp án chi tiết bài 3 trang 97 SGK Đại số và Giải tích 11
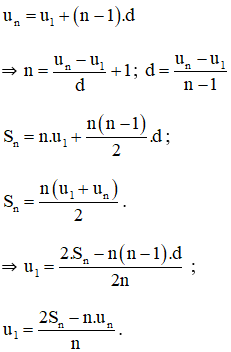
Trong các bài toán về cấp số cộng, ta thường gặp năm đại lượng \(u_1, n, d, u_n, S_n\).
a
Hãy viết các hệ thức liên hệ giữa các đại lượng để có thể tìm được các đại lượng còn lại?
Phương pháp giải:
Sử dụng các công thức:
\(\begin{array}{l}
{u_n} = {u_1} + \left( {n - 1} \right)d\\
{S_n} = n{u_1} + \frac{{n\left( {n - 1} \right)}}{2}d
\end{array}\)
Lời giải chi tiết:
Ta có:

Dựa vào các công thức trên thấy cần phải biết ít nhất 3 đại lượng để tìm được các đại lượng còn lại.
b
Lập bảng theo mẫu sau và điền vào chỗ trống thích hợp:
|
\({u_1}\) |
d |
\({u_n}\) |
n |
\({S_n}\) |
|
-2 |
|
55 |
20 |
|
|
|
-4 |
|
15 |
120 |
|
3 |
\({4 \over {27}}\) |
7 |
|
|
|
|
|
17 |
12 |
72 |
|
2 |
-5 |
|
|
-205 |
Lời giải chi tiết:
Dòng đầu: Biết \({u_1} = - 2;{u_{20}} = 55\). Tìm d và \({S_{20}}\).
Ta có \({u_{20}} = {u_1} + 19d\)
\(\Leftrightarrow 55 = - 2 + 19d \Leftrightarrow d = 3\)
\({S_{20}} = \frac{{20\left( {{u_1} + {u_{20}}} \right)}}{2} \) \(= \frac{{20.\left( { - 2 + 55} \right)}}{2} = 530\)
Dòng 2: Biết \(d = - 4;\,\,{S_{15}} = 120\), tìm \({u_1}\) và \({u_{15}}\).
Ta có \({S_{15}} = 15{u_1} + \frac{{15.\left( {15 - 1} \right)}}{2}.d \)
\(\Leftrightarrow 120 = 15.{u_1} + 105.\left( { - 4} \right) \)
\(\Leftrightarrow 15{u_1} = 540 \Leftrightarrow {u_1} = 36\)
\( \Rightarrow {u_{15}} = {u_1} + 14d = 36 + 14.\left( { - 4} \right) = - 20\)
Dòng 3: Biết \({u_1} = 3;\,\,d = {4 \over {27}};\,\,{u_n} = 7\). Tìm n và tính \({S_n}\).
Ta có \({u_n} = {u_1} + \left( {n - 1} \right)d \)
\(\Leftrightarrow 7 = 3 + \left( {n - 1} \right).{4 \over {27}} \Leftrightarrow n = 28\)
\({S_{28}} = 28{u_1} + \frac{{28.\left( {28 - 1} \right)}}{2}.d \)
\(= 28.3 + 378.\frac{4}{{27}} = 140\)
Dòng 4: Biết \({u_{12}} = 17\) và \({S_{12}} = 72\). Tìm \({u_1}\) và \(d\).
\(\begin{array}{l}
{S_{12}} = \frac{{12\left( {{u_1} + {u_{12}}} \right)}}{2}\\
\Leftrightarrow 72 = \frac{{12\left( {{u_1} + 17} \right)}}{2}\\
\Leftrightarrow {u_1} + 17 = 12\\
\Leftrightarrow {u_1} = - 5\\
{u_{12}} = {u_1} + 11d\\
\Leftrightarrow 17 = - 5 + 11d\\
\Leftrightarrow 22 = 11d \Leftrightarrow d = 2
\end{array}\)
Dòng 5: Biết \({u_1} = 2;d = - 5\) và \({S_n} = - 205\). Tìm n và tính \({u_n}\).
Ta có
\(\begin{array}{l}
{S_n} = n{u_1} + \frac{{n\left( {n - 1} \right)}}{2}d\\
\Leftrightarrow - 205 = n.2 + \frac{{n\left( {n - 1} \right)}}{2}.\left( { - 5} \right)\\
\Leftrightarrow - 410 = 4n - 5n\left( {n - 1} \right)\\
\Leftrightarrow 5{n^2} - 9n - 410 = 0\\
\Leftrightarrow \left[ \begin{array}{l}
n = 10\\
n = - \frac{{41}}{5}\left( {loai} \right)
\end{array} \right.\\
\Rightarrow n = 10\\
\Rightarrow {u_{10}} = {u_1} + 9d\\
= 2 + 9.\left( { - 5} \right) = - 43
\end{array}\)
Vậy ta điền được bảng như sau :
|
\({u_1}\) |
d |
\({u_n}\) |
n |
\({S_n}\) |
|
-2 |
3 |
55 |
20 |
530 |
|
36 |
-4 |
-20 |
15 |
120 |
|
3 |
\({4 \over {27}}\) |
7 |
28 |
140 |
|
-5 |
2 |
17 |
12 |
72 |
|
2 |
-5 |
-43 |
10 |
-205 |